What Is
Sodium Carboxymethyl Cellulose?
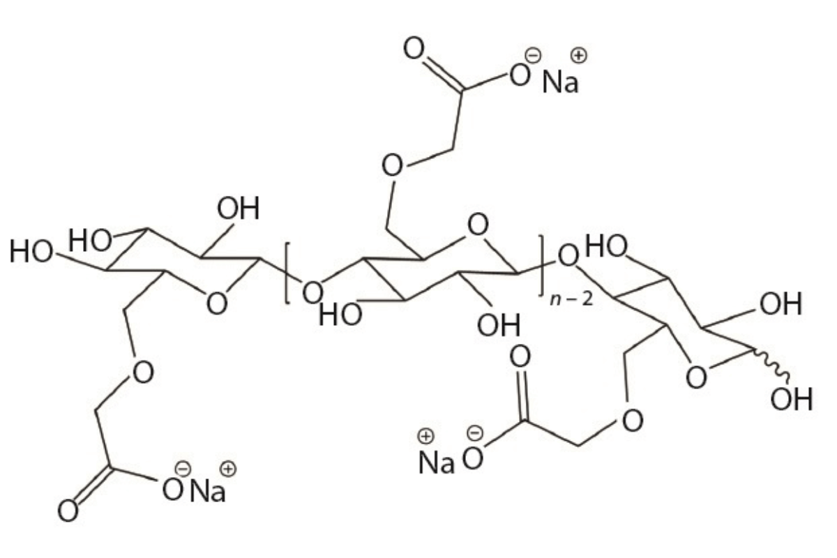
Sodium Carboxymethyl Cellulose (CMC) is a water-soluble polymer derived from natural cellulose. It is produced by the chemical modification of cellulose, introducing carboxymethyl groups (-CH₂-COOH) into its molecular chain.
This modification transforms insoluble cellulose into a highly functional, water-dispersible compound that is widely used as a thickener, stabilizer, emulsifier, and film-forming agent across industries such as food, pharmaceuticals, cosmetics, textiles, and construction.
Chemically, it is represented as C8H15NaO8 and is commonly referred to as cellulose gum in food-grade applications.
Chemical Properties and Structure
Sodium Carboxymethyl Cellulose consists of a linear chain of β-(1→4)-D-glucose units, similar to natural cellulose, with carboxymethyl groups replacing some of the hydroxyl groups (-OH).
Key chemical features include:
Appearance: White to off-white powder
Solubility: Easily dissolves in hot or cold water
pH Range: 6.0–8.5
Viscosity Range: 10 to 10,000 mPa·s (depending on grade and concentration)
The degree of substitution (DS) — typically between 0.6 and 0.95 — determines its solubility and viscosity properties, which are tailored for different industrial applications.
How Sodium Carboxymethyl Cellulose Works
When dissolved in water, CMC forms a clear, viscous solution capable of binding water, suspending particles, and stabilizing emulsions.
This behavior makes it ideal for:
Thickening aqueous solutions
Preventing phase separation in emulsions
Improving texture and mouthfeel in food products
Controlling release and stability in pharmaceuticals
Enhancing binding strength in industrial materials
Applications of Sodium Carboxymethyl Cellulose
1. Food Industry (Food Grade CMC)
In food applications, Sodium Carboxymethyl Cellulose (E466) is used as a stabilizer, thickener, and emulsifier.
Common applications include:
Ice creams, yogurts, and milkshakes: Prevents ice crystal formation and improves creaminess.
Beverages: Stabilizes suspended particles and enhances mouthfeel.
Bakery and confectionery: Improves dough texture and moisture retention.
Sauces and dressings: Controls viscosity and prevents ingredient separation.
2. Pharmaceutical Industry
In pharmaceutical formulations, CMC functions as:
A binder in tablets
A suspending agent in syrups and liquid medicines
A film former in drug coatings
A controlled-release agent in
sustained-release tabletsIt is non-toxic, non-irritating, and biocompatible, making it ideal for pharmaceutical use.
3. Cosmetics and Personal Care
In creams, lotions, shampoos, and toothpaste, CMC acts as a rheology modifier that improves texture, spreadability, and product stability.
It also gives a smooth, consistent feel to gels and serums.
4. Textile and Paper Industry

CMC improves the performance of textile printing and paper coating by:
Increasing dye retention
Enhancing print sharpness
Providing uniform coating and surface strength
5. Oil Drilling and Industrial Applications
In oilfield drilling, Sodium Carboxymethyl Cellulose serves as a fluid loss control agent, stabilizing borehole walls and preventing fluid leakage.
It is also used in detergents, ceramics, adhesives, and paints to
control viscosity and improve stability.
Advantages of Sodium Carboxymethyl Cellulose
Property Benefit
Excellent water solubility Works in both cold and hot water
Adjustable viscosity Suitable for diverse applications
Safe and non-toxic Approved for food and pharmaceutical use
Biodegradable Environmentally friendly
Strong film-forming ability Useful in coatings and packaging
Safety and Regulatory Compliance
Sodium Carboxymethyl Cellulose is classified as GRAS (Generally Recognized As Safe) by the U.S. Food and Drug Administration (FDA).
It is also approved by the European Food Safety Authority (EFSA) and listed as E466 in the EU food additives list.
It meets the requirements of FCC, USP, EP, and other international quality standards, ensuring its suitability for global markets.
Choosing the Right Grade of Sodium Carboxymethyl Cellulose
CMC is available in various grades depending on purity and intended use:
Food Grade CMC (E466) — for food and beverages
Pharma Grade CMC — for tablets, syrups, and oral care
Industrial Grade CMC — for oil drilling, paper, and detergents
When selecting a supplier, ensure they provide consistent viscosity, low salt content, and certified compliance with ISO, HACCP, and Halal standards.
Conclusion
Sodium Carboxymethyl Cellulose is one of the most versatile and safe cellulose derivatives used today.
From food and pharmaceuticals to cosmetics and industrial applications, it enhances product performance through its thickening, stabilizing, and film-forming properties.
As global industries continue to prioritize product quality, sustainability, and consumer safety, high-purity Sodium Carboxymethyl Cellulose remains an essential ingredient driving innovation across sectors.